
<阪神2-1中日>◇13日◇甲子園
阪神先発の秋山拓巳投手(30)が意地の粘りを見せた。2回、木下拓に先制弾を浴びたが、その後は踏ん張る。7回無死一、二塁。打ち気にはやる3者を変化球でフライアウト3本に料理した。「あそこを1人で投げきることができた。こういう積み重ねが次につながる」。4月30日広島戦(甲子園)以来、中12日の先発だったが7回1失点の好投。矢野監督も「先取点は取られましたけど、その後、粘ってくれました。最後のピンチも乗り切ってくれた」と評した。
2021/5/13
阪神・秋山拓巳
#Tigers_summary
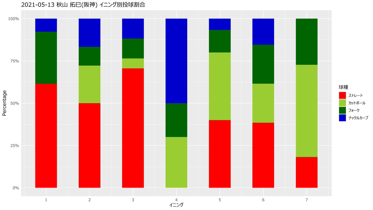
2週間ぶりの一軍登板でストレートの平均球速は今季最速
前半は直球で押しまくり、4回以降は一転して変化球中心 pic.twitter.com/wEKIlrPKIv
9分タイガース🐯貯金が15に膨れ上がった!!秋山好投の理由は!?得点は全て2アウトから😲横綱相撲だ!阪神タイガース!【藪恵壹】 https://youtu.be/mQF6TVNyM2A
確かに大丈夫かなっていうのは感じたけど
よく粘って我慢強く投げてた気がするな
西君にしてもこうやって
試合を作ってくれれば
いいんだと思うけどな
阪神先発の秋山は7回1失点の好投にも「先制点は反省です」4勝目の権利は得られず(デイリースポーツ)
#Yahooニュース
https://news.yahoo.co.jp/articles/7519f309351b0dce960fffca633545ff8b911ce1 …
今日の勝ち方、ほんま強いチームの勝ち方やった!
秋山の好投。ツーアウトからの原口出塁、熊谷の盗塁、近本タイムリー。
サンズの1発欲しいとこでのホームラン。
安定の中継ぎ(岩崎ちょっと危うかったけど)
9回の中野の守備。
...優勝や!(((└( 'ω' )┐)))ドンドンチャカチャカ
@Aki19353535 ドンドンパフパフ!!!
今年は強い!!!!
何が一番よかったって、7イニング1失点の超クオリティースタートの秋山が負けなくて良かった。
出来れば勝ち付けてやりたかったけど、まぁ負けなくて良かった。 https://twitter.com/TigersDreamlink/status/1392819037411758082 …

















